Revision of the proposed chemical structure of a compound accumulated in the growth medium of a white collar-2 mutant of Neurospora crassa

Jarret Aguilar(1)and Roy Harding - Department of Chemistry, Indiana University of Pennsylvania, Indiana, PA 15705. (1)Current address: Center for Photochemical Sciences, Bowling Green State University, Bowling Green, OH 43403

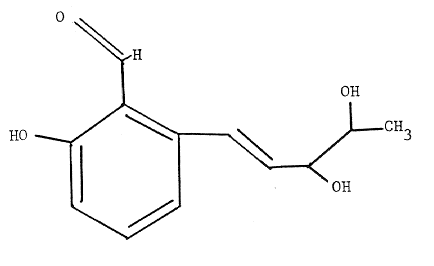
The white collar mutants have been shown to be blocked in several blue light regulated processes in Neurospora crassa (Harding, R.W. and R.V. Turner 1981 Plant Physiol. 68:745-749; Harding, R.W. and S. Melles 1983 Plant Physiol. 72:996-1000; Degli- Innocenti, F. and V.E.A. Russo 1984 J. Bacteriol. 159:757-761; Russo, V.E.A. 1988 J. Photochem. Photobiol. 2:59-65). As reported by J. Aguilar and R. Harding at the 16th Fungal Genetics Conference (Poster Session 1, Abstract 3), a compound has been isolated and identified which accumulates in the growth medium of a white collar-2 mutant (D. Perkins stock 9896-5, identical in wc genotype to FGSC 3818, which is a sibling). A proposed chemical structure of this compound was presented. Further investigations have shown that part of the proposed structure is incorrect, and the compound has been subsequently identified as sordarial (Aguilar, J., R. Harding, J. Hrkach and B. Whitaker, Photochemistry and Photobiology, Abstract in press). This salicylaldehyde derivative has been found previously in the growth medium of nonpigmented mutants of Sordaria macrospora (Bouillant, M.L. et al. 1989 Z. Naturforsch. 44c:719-723). The chemical structure of sordarial is shown below. Based on the proton NMR spectrum of sordarial isolated from Neurospora crassa, it is proposed that the configuration at the carbon-carbon double bond is trans as shown. This conclusion was also reached for sordarial isolated from Sordaria macrospora (Bouillant, M.L. et al. 1989 Z. Naturforsch. 44c:719-723).